Un parcours d'arbre est une façon
d'ordonner les nœuds d'un arbre afin de les parcourir. On peut le voir comme
une fonction qui à un arbre associe une liste de ses
nœuds même si la liste n'est souvent pas explicitement construite par le
parcours.
On distingue essentiellement deux
types de parcours : le parcours en largeur et les parcours en profondeur. Parmi
les parcours en profondeur, on distingue à nouveau le parcours préfixe, le
parcours infixe et le parcours suffixe.
Parcours en profondeurs
Les parcours en profondeur se définissent de manière récursive sur les
arbres. Le parcours d'un arbre consiste à traiter la racine de l'arbre et à
parcourir récursivement les sous-arbres gauche et droit de la racine. Les
parcours préfixe, infixe et suffixe se distinguent par l'ordre dans lequel sont
faits ces traitements.
Définitions et exemples
Dans le parcours préfixe, la racine est traitée avant les
appels récursifs sur les sous-arbres gauche et droit (faits dans cet ordre). Le
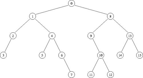
parcours préfixe de l'arbre ci-dessus parcourt les nœuds dans l'ordre
[0,1,2,3,4,5,6,7,8,9,10,11,12,13,14,15].
Dans le parcours infixe, le traitement de la racine est fait
entre les appels sur les sous-arbres gauche et droit. Le parcours infixe de
l'arbre ci-dessus parcourt les nœuds dans l'ordre
[3,2,1,5,4,6,7,0,9,11,10,12,8,14,13,15].
Dans le parcours suffixe, la racine est traitée après les
appels récursifs sur les sous-arbres gauche et droit (faits dans cet ordre). Le
parcours suffixe de l'arbre ci-dessus parcourt les nœuds dans l'ordre
[3,2,5,7,6,4,1,11,12,10,9,14,15,13,8,0].
Parcours en largeur
Définition et exemple
Le parcours en largeur consiste à parcourir l'arbre niveau
par niveau. Les nœuds de niveau 0 sont d’abord parcourus puis les nœuds de
niveau 1 et ainsi de suite. Dans chaque niveau, les nœuds sont parcourus de la
gauche vers la droite. Le parcours en largeur de l'arbre ci-dessus parcours les
nœuds dans l'ordre [0,1,8,2,4,9,13,3,5,6,10,14,15,7,11,12].
